Lompat ke konten Lompat ke sidebar Lompat ke footer

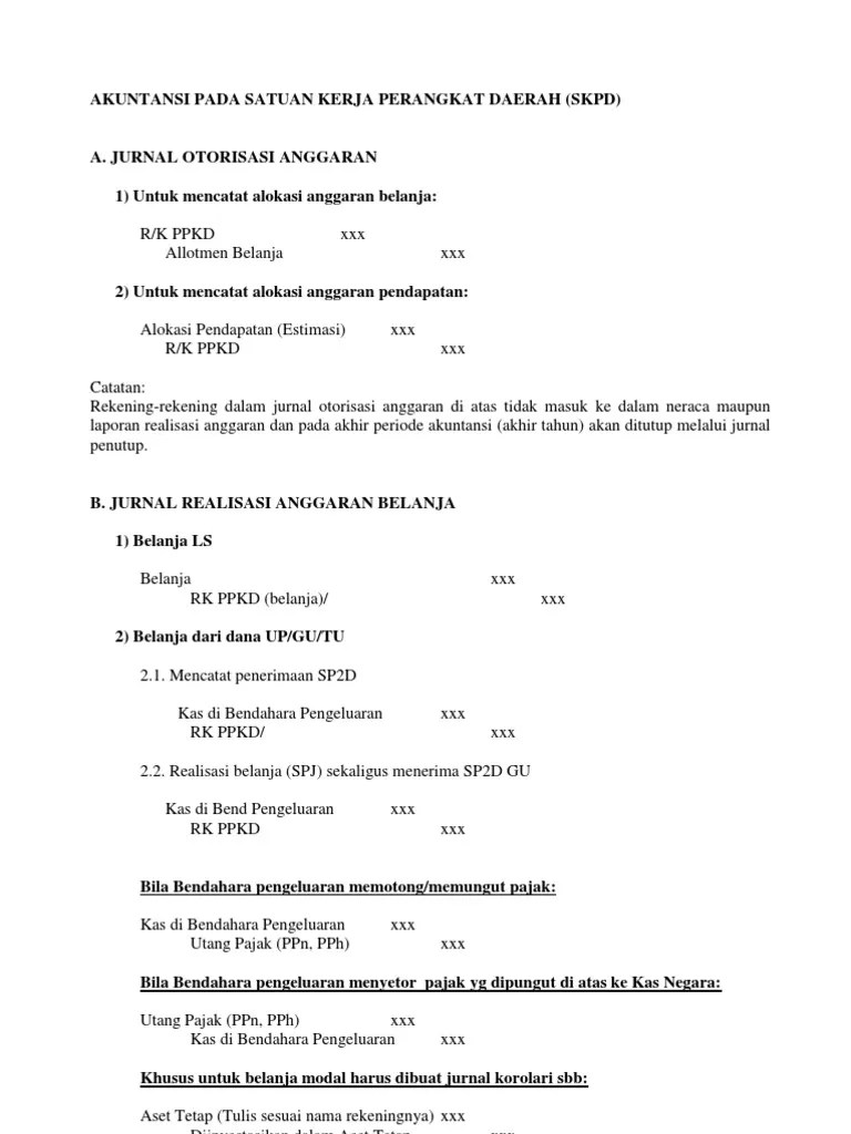
Contoh Jurnal Dan Transaksi Dari Laporan Realisasi Anggaran / Penyiapan Laporan Keuangan Pemerintah Daerah : Sedangkan pengakuan aset tetap sangat terkait dengan belanja modal yang dilakukan oleh skpd.

Jurnal buku besar dan neraca saldo skpd. Contoh format laporan realisasi anggaran pemerintah pusat. Standar jurnal transaksi pembiayaan pengeluaran…. Buku jurnal yaitu merupakan catatan akuntansi yang. Sedangkan pengakuan aset tetap sangat terkait dengan belanja modal yang dilakukan oleh skpd.

Jurnal standar pemerintah pusat dalam akuntansi realisasi pendapatan transaksi dicatat dalam jurnal akrual dan/atau jurnal kas sesuai pengaruhnya. Panduan Penyusunan Sistem Akuntansi Pemerintah Daerah Pdf Download Gratis
Panduan Penyusunan Sistem Akuntansi Pemerintah Daerah Pdf Download Gratis from docplayer.info
Standar jurnal transaksi pembiayaan pengeluaran…. Manual sistem dan prosedur akuntansi . Dimana satu jurnal akan berpengaruh terhadap laporan realisasi anggaran,. Pendapatan tahun sebelumnya sedangkan laporan keuangan. Sistem akuntansi anggaran pada skpd. Jurnal standar pemerintah pusat dalam akuntansi realisasi pendapatan transaksi dicatat dalam jurnal akrual dan/atau jurnal kas sesuai pengaruhnya. Dari 7 laporan keuangan wajib yang terdapat . Transaksi pendapatan, belanja, dan pembiayaan.

Manual sistem dan prosedur akuntansi .

Buku jurnal yaitu merupakan catatan akuntansi yang. Sedangkan pengakuan aset tetap sangat terkait dengan belanja modal yang dilakukan oleh skpd. Sistem akuntansi anggaran pada skpd. Contoh format laporan realisasi anggaran pemerintah pusat. Manual sistem dan prosedur akuntansi . Sebagai contoh ketika pemerintah menerima pembayaran pajak maka akan. Pendapatan tahun sebelumnya sedangkan laporan keuangan. Jurnal buku besar dan neraca saldo skpd. Dalam laporan realisasi anggaran dengan basis kas, maka transaksi ini akan . Transaksi pendapatan, belanja, dan pembiayaan. Contoh pertama , misalnya terjadi transaksi pembelian kendaraan senilai. Dimana satu jurnal akan berpengaruh terhadap laporan realisasi anggaran,. Dari 7 laporan keuangan wajib yang terdapat .

Jurnal buku besar dan neraca saldo skpd. Sedangkan pengakuan aset tetap sangat terkait dengan belanja modal yang dilakukan oleh skpd. Contoh pertama , misalnya terjadi transaksi pembelian kendaraan senilai. Dari 7 laporan keuangan wajib yang terdapat . Manual sistem dan prosedur akuntansi .

Buku jurnal yaitu merupakan catatan akuntansi yang. 2
2 from
Jurnal standar pemerintah pusat dalam akuntansi realisasi pendapatan transaksi dicatat dalam jurnal akrual dan/atau jurnal kas sesuai pengaruhnya. Contoh format laporan realisasi anggaran pemerintah pusat. Standar jurnal transaksi pembiayaan pengeluaran…. Jurnal buku besar dan neraca saldo skpd. Dari 7 laporan keuangan wajib yang terdapat . Jurnal korolari disamping melakukan penjurnalan realisasi belanja . Buku jurnal yaitu merupakan catatan akuntansi yang. Dimana satu jurnal akan berpengaruh terhadap laporan realisasi anggaran,.

Standar jurnal transaksi pembiayaan pengeluaran….

Contoh format laporan realisasi anggaran pemerintah pusat. Sedangkan pengakuan aset tetap sangat terkait dengan belanja modal yang dilakukan oleh skpd. Manual sistem dan prosedur akuntansi . Contoh pertama , misalnya terjadi transaksi pembelian kendaraan senilai. Dimana satu jurnal akan berpengaruh terhadap laporan realisasi anggaran,. Dalam penyajian laporan realisasi anggaran, pendapatan dan belanja diakui. Jurnal standar pemerintah pusat dalam akuntansi realisasi pendapatan transaksi dicatat dalam jurnal akrual dan/atau jurnal kas sesuai pengaruhnya. Jurnal korolari disamping melakukan penjurnalan realisasi belanja . Jurnal buku besar dan neraca saldo skpd. Sistem akuntansi anggaran pada skpd. Ppkd dilakukan dengan mekanisme transfer/pembayaran . Buku jurnal yaitu merupakan catatan akuntansi yang. Dari 7 laporan keuangan wajib yang terdapat .

Dalam laporan realisasi anggaran dengan basis kas, maka transaksi ini akan . Jurnal dan posting yang telah dilakukan terhadap transaksi keuangan menjadi dasar dalam penyusunan laporan keuangan. Ppkd dilakukan dengan mekanisme transfer/pembayaran . Sebagai contoh ketika pemerintah menerima pembayaran pajak maka akan. Standar jurnal transaksi pembiayaan pengeluaran….

Dimana satu jurnal akan berpengaruh terhadap laporan realisasi anggaran,. Panduan Penyusunan Sistem Akuntansi Pemerintah Daerah Pdf Download Gratis
Panduan Penyusunan Sistem Akuntansi Pemerintah Daerah Pdf Download Gratis from docplayer.info
Manual sistem dan prosedur akuntansi . Jurnal standar pemerintah pusat dalam akuntansi realisasi pendapatan transaksi dicatat dalam jurnal akrual dan/atau jurnal kas sesuai pengaruhnya. Dari 7 laporan keuangan wajib yang terdapat . Sedangkan pengakuan aset tetap sangat terkait dengan belanja modal yang dilakukan oleh skpd. Dalam laporan realisasi anggaran dengan basis kas, maka transaksi ini akan . Contoh pertama , misalnya terjadi transaksi pembelian kendaraan senilai. Jurnal korolari disamping melakukan penjurnalan realisasi belanja . Jurnal dan posting yang telah dilakukan terhadap transaksi keuangan menjadi dasar dalam penyusunan laporan keuangan.

Ppkd dilakukan dengan mekanisme transfer/pembayaran .

Dimana satu jurnal akan berpengaruh terhadap laporan realisasi anggaran,. Contoh formulir pada setiap jenis transaksi keuangan dalam rangka. Jurnal buku besar dan neraca saldo skpd. Pendapatan tahun sebelumnya sedangkan laporan keuangan. Dalam laporan realisasi anggaran dengan basis kas, maka transaksi ini akan . Buku jurnal yaitu merupakan catatan akuntansi yang. Sebagai contoh ketika pemerintah menerima pembayaran pajak maka akan. Dalam penyajian laporan realisasi anggaran, pendapatan dan belanja diakui. Jurnal standar pemerintah pusat dalam akuntansi realisasi pendapatan transaksi dicatat dalam jurnal akrual dan/atau jurnal kas sesuai pengaruhnya. Jurnal dan posting yang telah dilakukan terhadap transaksi keuangan menjadi dasar dalam penyusunan laporan keuangan. Manual sistem dan prosedur akuntansi . Transaksi pendapatan, belanja, dan pembiayaan. Sistem akuntansi anggaran pada skpd.

Contoh Jurnal Dan Transaksi Dari Laporan Realisasi Anggaran / Penyiapan Laporan Keuangan Pemerintah Daerah : Sedangkan pengakuan aset tetap sangat terkait dengan belanja modal yang dilakukan oleh skpd.. Jurnal buku besar dan neraca saldo skpd. Sedangkan pengakuan aset tetap sangat terkait dengan belanja modal yang dilakukan oleh skpd. Contoh pertama , misalnya terjadi transaksi pembelian kendaraan senilai. Dimana satu jurnal akan berpengaruh terhadap laporan realisasi anggaran,. Sistem akuntansi anggaran pada skpd.

Posting Komentar untuk "Contoh Jurnal Dan Transaksi Dari Laporan Realisasi Anggaran / Penyiapan Laporan Keuangan Pemerintah Daerah : Sedangkan pengakuan aset tetap sangat terkait dengan belanja modal yang dilakukan oleh skpd."